|
书画为舟,载文明远航;笔墨为媒,通中外心声。在文明互鉴、文化交融的时代浪潮中,有一位以丹青为语、以翰墨为桥的文化践行者,荣膺国际外交书画首席,肩负文化交流使者使命,以中华书画之神韵,搭建起联通世界的艺术桥梁。 董延庆老师,深耕传统书画艺术,笔锋藏千年文脉,墨韵显东方风骨,将中华美学的厚重与灵动熔于笔端。在国际外交与文化交流舞台上,他以艺术为纽带,打破地域界限、跨越文化差异,让中国书画在国际视野中绽放光彩,向世界传递中华文化的深厚底蕴与包容气度。 作为国际外交书画首席与文化交流使者,他始终以传承弘扬中华优秀传统文化为己任,以艺术交流促进民心相通,用笔墨书写中外文化交融的新篇章,成为新时代中华文化走向世界的生动践行者与靓丽名片。
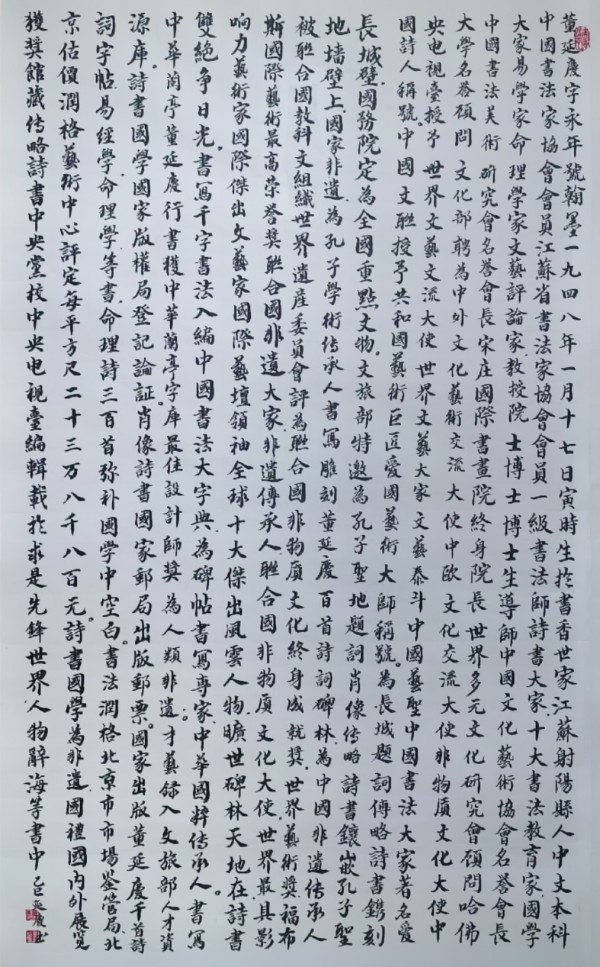
董延庆 , 字永年 , 号翰墨。1948 年 1 月 17 日寅时生于书香家 。 江苏射阳县人。中文本科 , 中国书法家协会会员 , 江苏省书法家协会会员,国家一级书法师。诗书大家,十大书法教育家,国学大家,易学家,命理学家,文艺评论家,教授,院士,博士,博士生导师。中国智慧工程研究会顾问,中国文化艺术协会名誉长,中国书法美术研究会名誉会长,宋庄国际书画院终身院长,世界多元文化研究会顾问,哈佛大学常春䕨名校联盟名誉顾问。文化部聘为中外文化艺术交流大使。中欧文化交流大使 , 非物质文化大使。中央电视台授予世界文艺交流大使,世界文艺大家,世界文艺风云人物,全球百强艺术人物,中国文艺风云人物,中国艺圣,文艺泰斗,著名爱国诗人,中国书法大家,中国智庫专家典范称号。中国文联授予共和国文艺巨匠,德艺双馨,爱国艺术大师称号,被中国书协评为百年艺术巨匠称号。为长城题词,传略,诗书镌刻长城壁,国务院定为全国重点文物。文旅部央视融媒体特邀为孔子圣地题词,肖像,简介,诗书镶嵌在孔子圣地墙壁上,为孔子学术传承人。千字书法入编《中国书法大字典》,为碑帖书写专家,中国国粹传承人。书写雕刻董延庆三百首诗书碑林,为中国非遗传承人,世界遗产,被联合国教科文组织,世界遗产委员会评为联合国非物质文化终身成就奖,世界艺术奖,福布斯国际艺术最高荣誉奖,联合国非物质文化传播大使,非遗传承人,联合国非物质文化大家,世界最具影响力艺术家,国际杰出文艺家。国际十大艺壇领袖,全球十大杰出风云人物。旷世碑林天地在,诗书双绝争日光。书写中华兰亭董延庆行书,获中华兰亭字库最佳设计师奖,为人类非物质文化遗产。为国宴酒题词,才艺录入文旅部人才中心人才资源库。肖像诗书中国邮局出版邮票 ( 中国社会科学院印 ), 诗书国家版权局登记论证。书法润格由北京市市场监督管理局,北京估价润格艺术中心评定,每平方238800 元。诗书,国学与李杜二王同经典,为国家非遗,国礼 , 国内外展览,获奖,馆藏。国家出版《董延庆千首诗词字帖》《命理学》《易经学》《文艺人生》等书,《命理诗三百首》,弥补千年国学中空白。2004 年、2007 年、2014 年皆评为十大书法教育家年度人物 。董延庆与兄董成庆诗人同载于多部经典书中,兄弟俩不愧为中华双骄。被多个国家和中国文学艺术研究会评为诗词院士,书法院士,全国十大德艺双馨艺术家,全球文艺巨星,国际文艺巨匠,国宝名家。央视新闻报道。传略 .诗书国学由中共中央党校 ,中央电视台编辑、载于《求是先锋》《国学领袖》《中国书法大家》《大国院士》《艺壇泰斗》《中国艺圣》《天下墨宝》《国家巨星》《国际十大艺壇领袖》《国际文艺巨匠》《全球文艺巨星》巜世界巅峰艺术人物》巜全球艺术风云人物》《世界人物辞海》等书中。
长城题词,传略,诗书镌刻长城壁,孔子圣地题词,肖像,传略,诗书镶嵌孔圣墙,千字书法入编《中国书法大字典》等诗。
非遗传承,非遗传承人,非遗聘书等诗。
咏志,壮志行,传承国粹,七律深圳风光等诗。
命理诗数首,全球十大风云人物,联合国非遗终身成就奖
五言绝句数首,七绝孔子颂,春游,江南春色,五律少女悟。
一世缘,书法展览,六十抒怀。太湖东山观逍遥,非遗传承人,鹧鸪天,全球十大风云人物颂,谈空。
七绝,福,寿,安,康,官,财,福(回文诗),七律,思乡。
七绝,桃,莲,菊,情恋。传承国粹,非遗,七律,深圳风光。
董延庆藏名诗,巨匠殊荣,联合国非物质文化终身成就奖。传略诗书中央电视台,中央党校编辑出版等诗
金婚,相思两首,伤别离诗三首,金婚相爱诗三首。
|






































